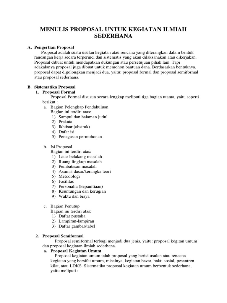
Pengertian Proposal Formal

May 30, 2021

Pengertian, Contoh, dan Cara Membuat Proposal Formal dan Semi Formal Pengertian Proposal Adalah, Tujuan, Fungsi, Unsur-Unsur Proposal Pengertian, Contoh, dan Cara Membuat Proposal Formal dan Semi Formal Pengertian Proposal Adalah, Tujuan, Fungsi, Unsur-Unsur Proposal Pengertian Proposal Contoh Proposal Formal - Guru Ilmu Sosial Pengertian, Contoh, dan Cara Membuat Proposal Formal dan Semi Formal PROPOSAL Contoh Proposal Formal Dan Non Formal - Guru Ilmu Sosial Proposal: Contoh, Kaidah, Sistematika, Latar Belakang, Pengertian Pengertian Proposal Adalah, Tujuan, Fungsi, Unsur-Unsur Proposal Proposal Adalah: Pengertian, Fungsi , Jenis, Unsur, Bentuk, Tujuan Proposal Adalah : Pengertian, Struktur, Tujuan, Unsur, Ciri Contoh Proposal Formal - Guru Ilmu Sosial 3 Contoh Proposal untuk Berbagai Kegiatan - Bataswaktu.com Pengertian Proposal, Sistematika dan Unsur Unsurnya – WeareID Pengertian, Contoh, dan Cara Membuat Proposal Formal dan Semi Formal Pengertian Proposal : Tujuan, Fungsi, Unsur, Ciri - Projasaweb TIPS MEMBUAT PROPOSAL (PROPOSAL UNTUK SPONSOR & PENELITIAN) - ppt download Pengertian Proposal : Fungsi, Struktur, Contoh | dosenpintar Pengertian dan Jenis-Jenis Proposal - Mishba7 Blog Definisi Proposal Proposal: Contoh, Kaidah, Sistematika, Latar Belakang, Pengertian terangkan yang disebut proposal non formal | SeputarIlmu.Com Pengertian Proposal, Fungsi, Tujuan, Unsur, Sistem Penulisan & Macam Pengertian Proposal Menurut Para Ahli dan Strukturnya Lengkap Proposal: Definisi, Bentuk, dan Jenisnya Halaman all - Kompas.com Pengertian Proposal - Fungsi, Tujuan, Manfaat, Sruktur, Jenis Pengertian Proposal, Fungsi, Tujuan, Unsur dan Macam-Macam Bentuk Proposal Terlengkap – Pelajaran Sekolah Online PENGERTIAN PROPOSAL: Tujuan, Jenis, Ciri-Ciri, Unsur & Struktur Proposal | Salamadian Pengertian proposal, Jenis Jenis, Bentuk Proposal dan Tujuannya Pengertian Proposal Dan Contohnya - Canggayuda Pengertian Proposal Dan Unsur-Unsurnya Serta Sistematikanya - Pengertian Apapun Contoh Proposal Formal - Guru Ilmu Sosial Pengertian Proposal, Tujuan, Fungsi, Jenis, dan Contoh Proposal Kegiatan Jenis-jenis Proposal - Pengertian, Bentuk, Tujuan [Lengkap + Contoh] Proposal: Pengertian, Tujuan, Jenis, Fungsi dan Contoh Proposal Proposal Adalah : Pengertian, Jenis, Struktur, Tujuan, Ciri Proposal: Pengertian, Ciri, Fungsi, Unsur, Jenis dan Bentuk Pengertian Proposal | Jenis Tujuan & Fungsi (Terlengkap) - Ilham Teguh Proposal penawaran Contoh Proposal Formal Dan Semi Formal - Berbagi Contoh Proposal Pengertian Proposal : Unsur Unsur Dan Tujuan - Jagad.id Pengertian Proposal Kegiatan, Jenis, Tujuan, dan Cara Membuatnya | PenelitianIlmiah.Com DOC) cara menyusun proposal | Iqbal Salang-ui Wangja - Academia.edu contoh proposal formal Fungsi Proposal dan Struktur atau Unsur-Unsurnya yang Harus Kamu Ketahui | Pengadaan (Eprocurement) Contoh Proposal Yang Baik : Pengertian, Tujuan, Fungsinya PENGERTIAN PROPOSAL: Tujuan, Jenis, Ciri-Ciri, Unsur & Struktur Proposal | Salamadian Menyusun proposal penawaran (multimedia) - ppt download Proposal Pengertian Proposal, Tujuan, Fungsi, Jenis, dan Contoh Proposal Kegiatan DOC) makalah proposal penelitian | P Ismaya Ithupuerdablyu-o - Academia.edu 10+ Contoh Proposal Kegiatan dalam Berbagai Tema - Syahrulanam.com Proposal adalah: Sistematika, Tujuan, Fungsi, Unsur, Contoh Proposal: Pengertian, Tujuan, Jenis, Fungsi dan Contoh Proposal Pengertian Proposal Adalah, Tujuan, Fungsi, Unsur-Unsur Proposal What Is a Business Proposal? A Simple Definition for Small Businesses MATERI B.INDO IPTEK.docx - RESENSI A Pengertian Resensi Secara etimologi resensi berasal dari bahasa latin dari kata kerja revidere atau recensere yang | Course Hero Contoh Proposal Non Formal Kegiatan Sekolah - Perokok k Contoh Proposal Semi Formal - Guru Ilmu Sosial Pengertian, Contoh, dan Cara Membuat Proposal Formal dan Semi Formal PENGERTIAN PROPOSAL: Tujuan, Jenis, Ciri-Ciri, Unsur & Struktur Proposal | Salamadian TIPS MEMBUAT PROPOSAL (PROPOSAL UNTUK SPONSOR & PENELITIAN) - ppt download Pengertian Proposal Dan Contohnya - Canggayuda DOC) Apa Pengertian dari proposal | Ozie Saputra - Academia.edu Pengertian Proposal Adalah, Tujuan, Fungsi, Unsur-Unsur Proposal Pengertian dan Jenis-Jenis Proposal - Mishba7 Blog Bahasa Indo Untitled PENGERTIAN, TUJUAN, FUNGSI, BENTUK, UNSUR DAN CONTOH PROPOSAL DANA (SPONSORSHIP) JURUSAN PENDIDIKAN ADMINISTRASI FAKULTAS EKONOM Proposal: Pengertian, Tujuan, Jenis, Fungsi dan Contoh Proposal Pengertian Proposal, Fungsi, Jenis, Bentuk, Unsur dan Contohnya Farouk on Twitter: “nih arti Proposal, klo @temanAhok yg di Mall2 itu jelas gk mngkin tanpa proposal. @awemany… " jelaskan materi tentang proposal - Brainly.co.id Contoh Surat Penting: Pengertian, Contoh, dan Cara Membuat Proposal Formal dan Semi Formal Contoh Halaman Judul (Cover) Proposal Kegiatan - Berpendidikan.Com proposal skripsi kualitatif deskriptif PELATIHAN PEMBUATAN PROPOSAL KEGIATAN PADA REMAJADUSUN NGEPUH LOR, DESA BANYUSIDI, PAKIS, MAGELANG, JAWA TENGAH Syarat – syarat Proposal 2 Sasaran Kegiatan Sasaran kegiatan yang merupakan objek yang menjadi sasaran | Course Hero Proposal Skripsi - Pengertian, Ciri-Ciri, Tujuan beserta Fungsi Proposal PENGERTIAN PROPOSAL: Tujuan, Jenis, Ciri-Ciri, Unsur & Struktur Proposal | Salamadian Bagian Bagian Penting Proposal - Guru Ilmu Sosial Jenis-Jenis Proposal dan Contohnya Berdasarkan Isi dan Bentuknya TIPS MEMBUAT PROPOSAL (PROPOSAL UNTUK SPONSOR & PENELITIAN) - ppt download Pengertian Proposal : Tujuan, Fungsi, Unsur, Ciri - Projasaweb PPT - Menyusun proposal penawaran PowerPoint Presentation, free download - ID:5490364 Menyusun proposal penawaran Menganalisa syarat Fungsi Proposal dan Struktur atau Unsur-Unsurnya yang Harus Kamu Ketahui | Pengadaan (Eprocurement) Membuat Proposal Usaha: Jenis serta Tujuannya - Jurnal 20+ Contoh Proposal Siap Download - anakUI.com Pengertian dan Tujuan Proposal Secara Bisnis Catatan tentang Poposal kelas 11 SMA - Clear Jenis-jenis Proposal - Pengertian, Bentuk, Tujuan [Lengkap + Contoh] Contoh Proposal Proyek yang Benar, Format, dan Cara Membuatnya 3 Contoh Proposal untuk Berbagai Kegiatan - Bataswaktu.com 16 Contoh Proposal (Usaha/Penelitian/Kegiatan/Proyek) dan Cara Membuatnya | DosenPPKN.com Camtasia Bu Sri Murwati - YouTube Definisi Proposal

Contoh Proposal Irigasi 2018

Proposal Tak Perilaku Kekerasan