Soal Essay Desain Busana

May 30, 2021

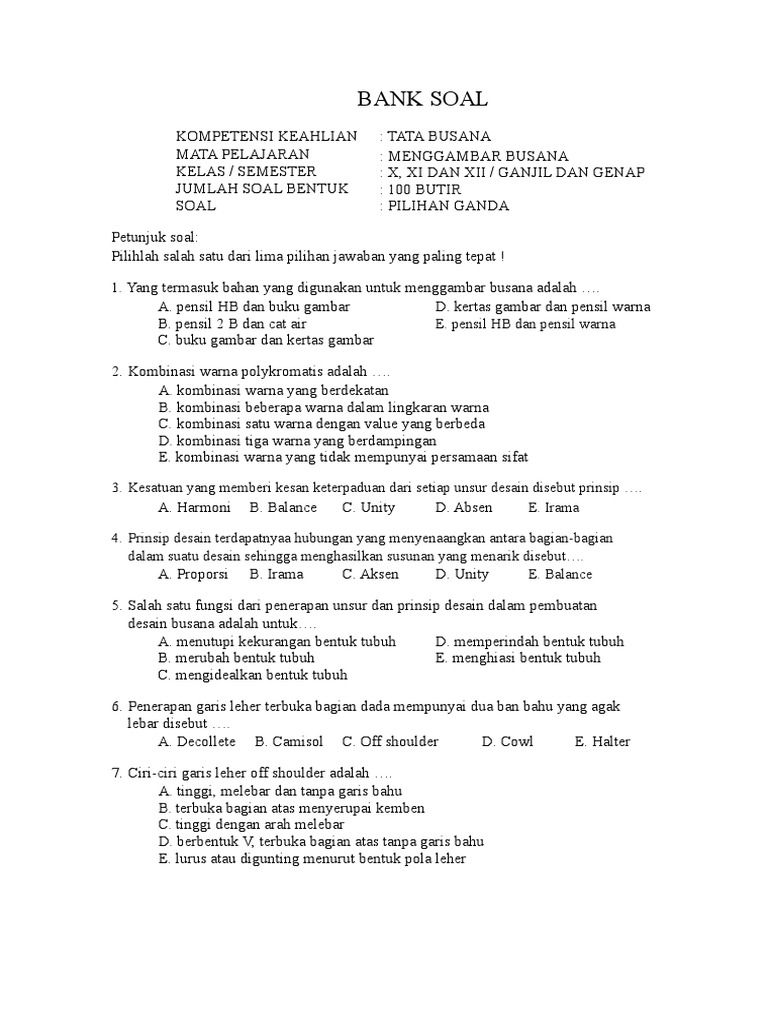
Kumpulan Soal Desain Busana - Guru Ilmu Sosial soal mulok tata busana kelas X genap Kumpulan Soal Desain Busana - Guru Ilmu Sosial DOC) Latihan Soal Produktif |Tata Busana _ “FASHION DRAWING … PDF) Soal Ulangan Tengah Semester Gasal SMK Darun Najah | Ihwan … Soal Desain Busana Kelas Xi - Guru Ilmu Sosial Kumpulan Soal Desain Busana - Guru Ilmu Sosial Contoh Soal Desain Busana Kelas 10 Beserta Jawabannya - Rismax KISI KISI PAS DESAIN BUSANA GNJL.docx PARADISE MODE (Fashion School): Latihan Soal Produktif |Tata … contoh soal disain.docx Soal Desain Busana Kelas Xi - Guru Ilmu Sosial Dasar Desain - Tata Busana, Desain Fesyen SMK/MAK Kelas X | Shopee … soal mulok tata busana kelas X genap PARADISE MODE (Fashion School): Latihan Soal Produktif Tata Busana … Soal Dan Jawaban Pembuatan Busana Industri - Guru Galeri dasar desain tata busana - Brainly.co.id Contoh Soal Desain Busana - Rismax Contoh Soal Pembuatan Busana Industri Beserta Jawabannya – Tekape.id KISI KISI PAS DESAIN BUSANA GNJL.docx soal mulok tata busana kelas X genap | Berkelas Soal Kewirausahaan (KWU) Kelas 11 SMA/MA dan Kunci Jawaban MENINGKATKAN KOMPETENSI BELAJAR MEMBUAT POLA MELALUI MODEL ACTIVE … Cara Mengerjakan Soal Uraian Essay di Pembelajaran Online - SMK … USBN 2018, 10 Persen Soal Ujian Berbentuk Esai - Alagraph.com Kumpulan Soal Desain Busana - Guru Ilmu Sosial Soal Dan Jawaban Pembuatan Busana Industri - Guru Galeri Kumpulan Soal Seni Budaya SMA/SMK beserta Jawaban Contoh Soal Desain Busana - Rismax Istilah Fashion Dalam Bahasa Inggris Dan Artinya Contoh Soal Menjahit Busana Industri Soal dan Kunci Jawaban USBN Tata Busana C2 - JURNAL ARTEFAK SOAL-UTS-GANJIL-DASAR-DESAIN-GRAFIS-KELAS-X-2017-2018-Essay-docx … Soal IPA Kelas 10 SMA/MA/SMK, Semester 1 dan 2, Tahun 2020 sertifikasiguru.id | PLPG 2017 - Tata Busana SOAL PTS Desain Grafis Percetakan Kelas XI MM.docx - Pilihlah … PARADISE MODE (Fashion School): Latihan Soal Produktif |Tata … Cara Membuat Essay yang Baik, Dilengkapi Pengertian dan Tahapannya … Jual Terbaru Fokus USBN SD 2020 - Latihan Soal Pembahasan UN SD … Soal dan Kunci Jawaban USBN C3 Tata Busana - JURNAL ARTEFAK Soal dan Kunci Jawaban Prakarya SMP Terbaru - Kherysuryawan.id Kumpulan Soal Seni Budaya SMA/SMK beserta Jawaban Soal PKK Kelas 11 [+Kunci Jawaban] 2020 Lengkap - 75+ Contoh Soal Essay Seni Budaya Kelas 10 SMA/MA dan … Soal Dan Jawaban Pembuatan Busana Industri - Guru Galeri Proporsi Tubuh dan Desain Busana - fesyendesign.com Soal Seni Budaya Kelas 12 SMA/MA 2020 dan Kunci Jawabannya Kepariwisataan SMK/MAK Kelas X Jual buku terbaik terlaris 2020 buku soal sd.. BUKU TARGET LULUS … 10 Soal pilihan ganda ini bikin murid menyesal membacanya PENGEMBANGAN MODUL MENGGAMBAR PROPORSI TUBUH WANITA DEWASA DALAM … Teknik Penyajian Desain Busana - fesyendesign.com tolong kak ini gmna.. - Brainly.co.id 100 Contoh Soal PG Seni Budaya Kelas 11 SMA MA dan Kunci Jawabnya Contoh Soal Desain Busana - Rismax Soal Teori Kejuruan Busana Butik - ProProfs Quiz Soal Desain Busana Kelas Xi - Guru Ilmu Sosial DOC) BENTUK-BENTUK SOAL PADA EVALUASI PEMBELAJARAN | Asef Aryadi … Kumpulan Soal Desain Busana | Soal Revisi Dasar Desain - Tata Busana, Desain Fesyen SMK/MAK Kelas X | Shopee … Tugas Desain Grafis XII Multimedia - SMK Cendika Bangsa PDF) Pengembangan instrumen pengukuran kemandirian siswa sekolah … Soal Dan Jawaban Desain Multimedia Interaktif Kelas 12 – Ular Batik Perkembangan Trend Fashion di Indonesia Halaman all - Kompasiana.com 50 Contoh Soal PG Seni Budaya Kelas 10 SMA MA dan Kunci Jawabnya Membuat Soal HOTS – LITERASI PEDAGOGI & TEKNOLOGI Soal Pembuatan Hiasan Busana Kelas 11 Tb 10 Profesi Masa Kini Lulusan Desain Untuk Si Jiwa Artsy! Jurnal Tata Busana (jurnal-tata-busana) BUSANA PESTA MALAM UNTUK REMAJA DENGAN SUMBER .anggaran. Tahap … Slow Fashion, Cari Untung Tanpa Singkirkan Etika - Tirto.ID Soal Dan Jawaban Desain Multimedia Interaktif Kelas 12 – Ular Batik 10 Pertanyaan yang Selalu Ingin Kamu Ajukan pada Kritikus Fesyen Singkatan Nama Kelas Tata Busana | saya menjawab Soal Kelas 4 Tema 1 Subtema 3 dan Kunci Jawaban – Osnipa 10 Kampus Jurusan Desain Terbaik di Dunia Kumpulan Soal Seni Budaya SMA/SMK beserta Jawaban Soal Desain Busana Kelas Xi | Soal Revisi Pengertian Fashion-Stylist, Manfaat, Ciri, Faktor, Para Ahli Lengkap - 35+ Contoh Soal UKK Seni Budaya Kelas 8 SMP/MTs dan … Irma Suryani Ngakak Dengar Penjelasan Geisz Chalifah soal Banjir … Kumpulan Soal-soal HOTS Matematika SMP - M4TH-LAB Kurikulum | SMK NEGERI 1 BANYUPUTIH | Page 3 Contoh Soal Pembuatan Busana Industri Beserta Jawabannya – Tekape.id Latihan Soal UNBK SMA Sosiologi Tahun 2020 6 Jenis Kertas yang Wajib Diketahui Oleh Anak Desain Modul Penilaian Non Tes - [PDF Document] Slow Fashion, Cari Untung Tanpa Singkirkan Etika - Tirto.ID Soal Teori Kejuruan Busana Butik - ProProfs Quiz Soal dan Kunci Jawaban Tes Formatif Modul 1 KB 2 PPG Terbaru … Soal IPA Kelas 10 SMA/MA/SMK, Semester 1 dan 2, Tahun 2020 Soal Produktif OTKP, TKR, dan TB Kelas 11 SMK - JURNAL ARTEFAK Membuat Soal HOTS – LITERASI PEDAGOGI & TEKNOLOGI Soal Dan Jawaban Pembuatan Busana Industri - Guru Galeri Contoh Soal SKB CPNS Semua Formasi PENGEMBANGAN MODUL MENGGAMBAR PROPORSI TUBUH WANITA DEWASA DALAM … SOAL & JAWABAN Materi Lagu dan Pakaian Adat untuk SD Kelas 1-3 … Mengenal Tunik: Sejarah dan Model Tunik Populer | Molzania Universitas Negeri Semarang – Universitas Berwawasan Konservasi PDF) ESTETIKA SENI

Soal Essay Pemrograman Web

Contoh Essay Potensi Diri