Contoh Definisi Operasional Proposal Penelitian

May 30, 2021

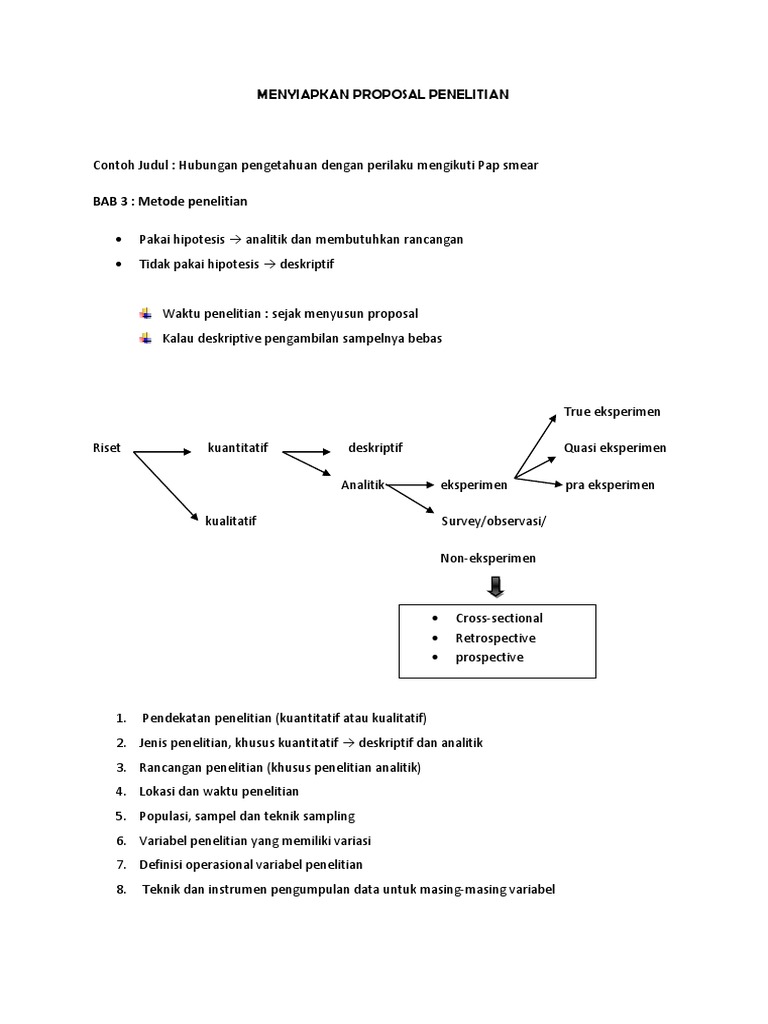
Definisi Operasional Proposal Penelitian - Guru Ilmu Sosial Contoh Definisi Operasional Skripsi - Ide Judul Skripsi Universitas Makalah variabel dan definisi operasional Makalah variabel dan definisi operasional BAB III METODOLOGI PENELITIAN. A. Definisi konseptual, Operasional … Contoh Skripsi Variabel Penelitian | Contoh Soal Dan Materi … BAB III METODOLOGI PENELITIAN. 3.1 Definisi Operasional dan … Contoh Definisi Operasional Variabel Dalam Proposal Penelitian … Makalah variabel dan definisi operasional PDF) PROPOSAL PENELITIAN KUANTITATIF (SKRIPSI | Dayat Li … Rubrik Penilaian Proposal Penelitian Kuantitatif Contoh Soal Dan Materi Pelajaran 2: Contoh Skripsi Operasional BAB III METODOLOGI PENELITIAN. 3.1 Definisi Operasional dan … Bagian penting dari proposal kadar keilmuan tulisan siswa sman 3 … Variabel dan Definisi Operasional Penelitian - ppt download Definisi operasional ppt Definisi Konseptual Dan Definisi Operasional Contoh Tabel Definisi Operasional Variabel Dalam Skripsi … Operasional Variabel Penelitian - YouTube Variabel dan Definisi Operasional Penelitian - ppt download Contoh Proposal Penelitian Kuantitatif Pdf - spectrumsoftis DOC) Lampiran pedoman skripsi | Thomas Richardo - Academia.edu Definisi Operasional Proposal Skripsi dan Penelitian – ideBeasiswa Cara Menyusun Definisi Operasional Penelitian – ideBeasiswa PPT - PROPOSAL PENELITIAN ILMIAH PowerPoint Presentation, free … Contoh Tujuan Penelitian - sirfasr Proposal Penelitian Ilmiah Konsep & Penulisan Riset Keperawatan/ORIGINAL | Shopee Indonesia Sistematika Penulisan Karya Ilmiah (KTI) yang Sistematis dan Runut Contoh Definisi Operasional Dalam Proposal Penelitian Kuantitatif … Metode Penelitian Ilmiah | Shopee Indonesia PDF) HIPOTESIS PENELITIAN Variabel dan Definisi Operasional Penelitian - ppt download Contoh Indikator Dan Sub Indikator CONTOH SKRIPSI BAB III METODOLOGI PENELITIAN - Mas Abas Menetapkan Judul yang Benar Dalam Penulisa karya ilmiah Contoh Tujuan Penelitian - sirfasr Tugas Secara Berkelompok Cermatilah Kembali Contoh Proposal di … Variabel dan Definisi Operasional Penelitian - ppt download DOC) Proposal Penelitian Kualitatif (Skripsi | Rizki Melinda … Definisi Operasional Proposal Analisis Strategi Pemasaran Di Sekolah Tinggi Ilmu Ekonomi L… Variabel dan Definisi Operasional Penelitian - ppt download Contoh Definisi Operasional Variabel Dalam Skripsi - Pejuang Skripsi Definisi Operasional Dan Kriteria Objektif Makalah variabel dan definisi operasional Konsep, Dimensi, Variabel, Indikator dan Pengukuran – Dosen Perbanas Variabel dan Definisi Operasional Penelitian - ppt download Perbedaan Proposal Kegiatan & Proposal Penelitian.pptx - Perbedaan … Contoh Proposal Skripsi dan Tesis | Distro teknologi informasi Contoh Definisi Operasional Dalam Proposal Penelitian Kualitatif … Pengertian Proposal Adalah, Tujuan, Fungsi, Unsur-Unsur Proposal Contoh Proposal, adalah referensi kita dalam menulis sebuah … Tujuan Penelitian Pdf BAGIAN II DESKRIPSI KOMPONEN PROPOSAL SKRIPSI ATAU TUGAS AKHIR … PPT - UNSUR-UNSUR PENELITIAN PowerPoint Presentation, free … Struktur Proposal, Pengertian, Tujuan, Ciri, Unsur & Jenis Konsep, Dimensi, Variabel, Indikator dan Pengukuran – Dosen Perbanas Definisi operasional ppt Cara Membuat Definisi Operasional Proposal Penelitian dan … VARIABEL PENELITIAN & DEFINISI OPERASIONAL - ppt download informasi penting dan maksud/tujuan dari tinjauan pustaka dalam … Contoh Proposal Penelitian PDF) PENYUSUNAN PROPOSAL PENELITIAN TINDAKAN KELAS Contoh Penulisan Definisi Operasional Dalam Skripsi - Kumpulan … Definisi Operasional Variabel Penelitian Dan Skala Pengukur DOC) Contoh Proposal Skripsi Manajemen Pemasaran | petroleum … Contoh Proposal Penelitian | Learning is the journey of life Proposal Analisis Strategi Pemasaran Di Sekolah Tinggi Ilmu Ekonomi L… Variabel dan Definisi Operasional Penelitian - ppt download contoh proposal penelitian ekonomi pdf download - wordefira Contoh Definisi Operasional Variabel Penelitian Kualitatif - Xmast 4 Contoh proposal DOC) Contoh Proposal Penelitian Terbaru | sri wahyuni - Academia.edu Variabel dan Definisi Operasional - ppt download Contoh Proposal Skripsi Bahasa Inggris Kualitatif Pdf - entrancementdy PDF) Contoh Draft Proposal Penelitian Kualitatif | Vingki Aryanti … Proposal aktiva-tetap METODOLOGI PENELITIAN - ppt download DOC) BERITA ACARA UJIAN SEMINAR PROPOSAL | Misrawati Misrawati … contoh proposal penelitian: Tabel Defenisi Operasional Proposal Penelitian Ilmiah CONTOH PROPOSAL SKRIPSI KUANTITATIF PENGARUH MODEL PEMBELAJARAN … Proposal Adalah: Pengertian, Fungsi , Jenis, Unsur, Bentuk, Tujuan 10+ Contoh Cover Proposal Skripsi, Kegiatan Dll (Baik & Benar) Definisi Operasional Kerangka Dasar Penelitian Kuantitatif | Prof. Nyoman Dantes Cara Membuat Outline Skripsi - Tambah Pinter PDF) Contoh Rancangan Proposal Skripsi (Penelitian Eksperimen dan … 9 Contoh Proposal Kegiatan, Bantuan Dana, Kerjasama, Skripsi … Makalah variabel dan definisi operasional Menyiapkan Proposal Penelitian Contoh Definisi Operasional Dalam Proposal Penelitian - Barisan Contoh Kumpulan Contoh Proposal for Android - APK Download DOC) Kerangka Proposal Skripsi | Anggi Nara Sukma - Academia.edu Cara Menyusun Definisi Operasional Penelitian – ideBeasiswa Dicontoh Contoh Proposal Penelitian Ilmiah dan Skripsi – Mamikos Info Usulan proposal penelitian Bab1-Penulisan Proposal Penelitian

Contoh Proposal Pernikahan

Contoh Proposal Penelitian Kualitatif Komunikasi